ページビュー至上主義は、「購読者」を離反させる
驚くべきは、多くの記事の精読を追求することさえ、離反を招く
衝撃的な研究結果から、メディアの採るべき選択を探る
国内では、もちろん日本経済新聞 電子版、米国では New York Times 電子版が示した、「ペイウォール」「サブスクリプション」(電子版購読制)での躍進。いまや多くのメディア運営者にとり、購読制は、あたかも新大陸、希望の地とさえ映っているかもしれません。
けれど、広告主を頼みとするメディア運営と、購読制、つまり読者からの直接的な支出に頼むメディア運営とは、共存もしくは全面的な転換は可能なのでしょうか?
広告を基盤とするメディア運営については、その知見やノウハウが蓄積されてきています。もっといえば、広告収益へとメディア運営を最適化したアプローチに、われわれメディア運営者は、知らず知らずに水浸しにさえなっているかもしれません。
そう。それはページビュー追求、読者のアテンション追求に偏ったテーマや執筆、そして編集スタイルです。
このようなスタイルは、読者の目を引くという点では有効かもしれませんが、読者を購読者として維持する力とはならない、とする調査結果が今回示されました。
本稿では、その調査結果と分析が示す、購読制をめぐる読者行動の謎、そして採るべき施策を紹介していきます。
衝撃的な発見
調査結果には、衝撃的な発見が2つ含まれています。それは、
- 読者が購読者であり続ける理由を示す指標は、たった一つ。読者の「日々の習慣」へと結びつくコンテンツがあること。記事の本数や滞在時間などとの関連はない
- さらに衝撃的な発見は、1回の訪問当たりの記事閲読数、精読率の高さは、そうでない読者に比べて、購読継続に結びつかないどころか、購読の中止に結びつく傾向が高いというパラドクス(逆説)がある
というものです。
調査について、紹介しておきましょう。
調査は、米国のローカルな大都市をカバーする有名地方新聞 Chicago Tribune(以下、Tribune)、San Francisco Chronicle(Chronicle)、そして Indianapolis Star の3メディアの協力を得て行われました。2018年秋、購読者の閲読行動を非署名データとして収集し、米国 Northwestern 大学に設置された研究機関(Medill School of Journalism, Media, Integrated Marketing Communications)が分析を主導しました。
調査結果そのものの研究報告などは、現時点で公開されておらず、研究に協力した3メディアの当事者向けに行われたブリーフィングをもとに書き起こされた取材記事が、2本あるだけです(参照 ➡ これ と これ)。
本稿は、この2記事から要点を紹介するものです。
まず、調査が見いだした上記の「発見」を中心に、研究者らの見解を見ていきましょう。

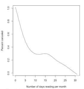
「Indianapolis Star」から得られたデータ:より多くの日数サイトを訪れると(横軸)、購読者の退会率は下がる(縦軸)
- 調査の主要な目的は、購読者の「スティッキネス」(Stickiness:購読の継続性)と「チャーン」(Churn:退会)に結びつく要因を測定しようとするものである
- 見いだされた購読を続ける理由とは、「閲読の日常的な習慣」であり、そのカギは「地域固有のユニークなコンテンツ」である
- 端的に言って、1か月当たりの訪問頻度(回数)と購読中止率には、強い負の相関がある
- ユニークなローカルコンテンツの例として、研究者は Tribune においては専門記者陣によるスポーツ解説報道を、そして、Chronicle については、「われわれの San Francisco」という町の歴史を、タイムマシーンのように振り返る人気連載を挙げ、これらが購読制のドライバであると指摘する
- このような読者に関する深い考察の確立が、購読者収入を生み出すための重要なテーマになる
一方、研究者らが「逆説」と呼ぶ衝撃的な事実について、研究者の見解を紹介しましょう。
まず、正確を期する意味で、彼らが「逆説」と呼ぶ意味を引用で確認します。
しかし、(購読を継続するのに寄与する行動とは別に)2つの行動が飛び出してきた。これらは、購読者の引き留めになんの関連性もないことを示すものだった。記事をたくさん、そして長く読む人々は、そうでない人々よりも、購読を続けないという逆説的なものだ。
2つのメディアにあっては、1日当たりの閲読PV(ページビュー)は、フラットどころか、むしろ悪い結果さえ生む。退会と相関するのだ。どうして? が次の問いだが、われわれは、いまだ答えを持っていない。
研究者らは、その理由を説明するいくつかの仮説を紹介はしますが、将来に行うべき新たな調査の結果を待つか、あるいは New York Times やWhashington Post などの豊富なデータ分析に期待すると述べるに止まります。
ただ、読者がロングフォーム(長文記事)を嫌うと判断するのは、短絡だと付け加えています。別の調査から、ロングフォームは、読者のサイトへの再訪を促すことが証明されているというのです。
購読を喚起するたったひとつの秘策は?
さて、最後に購読を促す施策(購読する理由)とは何かについて、研究者らの見解を整理しておきましょう。購読者を維持するだけでなく、購読するために必要な取り組みとは、次のようなものだとします。
- 読者の中核グループからのトラフィックを拡大する必要がある。(そのような)トラフィックは、倍増、4倍増とできるものではない
- 数多くの選択の中から、彼ら中核グループの日々の習慣に組み込まれるようなものと示唆できるのは「メールマガジン」(ニューズレター)だ。これが購読を決定させる最も有効な施策であることは、データから見えている
- だが、注意すべきは、読者とのエンゲージメントを喚起するテーストであるべきだ。機械的にリンクを生成、自動的にスケジュール投稿するような「セットしておき、そのあとは忘れる」的なものではいけない
- カスタマイズやパーソナライズも有望だ。読者がメルマガを選択できるようにすること。「NFL」や「美味しい食事」といったトピックスなどによる選択だ。読者のメディア上での行動を分析してのパーソナライズ抜きに、読者に過剰な選択肢を提示することはリスクともなる
分析者は、「最終的には、メルマガ自体で追加料金、もしくは単独の料金をメディアは徴収するようになれるかもしれない」とさえ、強調するのです。
以上は、米国を代表するような3つの大手地方新聞メディアを分析した結果からのインサイトです。これらは生活や政治、地元発の情報などを扱うメディアであり、決して専門テーマを追うようなメディアでないことは、むろん、念頭に置いた上で理解すべきであることを付け加えておきます。
以上
参照資料:
- Medill Study Identifies ‘Paradigm Shift’ in How Local News Serves Readers
- A Paradox Emerges: Why Aren’t Avid Readers More Likely to Keep Subscriptions?
- 3 Takeaways on Medill’s Subscriber Data Analysis
- Medill School of Journalism, Media, Integrated Marketing Communications
- NYタイムズ:読者開発、プラットフォーム戦略、そしてサブスクリプションを語る
